YD、YDT系列变极多速电动机产品说明
YD、YDT80~315系列(IP44)变极多速三相异步电动机,是东莞电机公司按照行业标准JB/T7127-1993《YD80~280系列(IP44)变极多速三相异步电动机技术条件》、JB/T8681-1998《YDT80~315系列(IP44)变极多速三相异步电动机技术条件》设计制造的专用型三相异步电动机。其中YD80~280系列变极电机适用于一般需要变速的负载场合,如切削床、运输皮带;YD80~315系列变极电机适用于风机、泵类需要变速的负载场合,如变速风机等。
YD、YDT系列电机是在Y系列电机的基础上开发设计的派生系列产品。电动机安装尺寸符合国际电工委员会IEC72-1标准,和我国通用的Y系列电机相同,方便了用户的更换和维修。
YD、YDT系列变极多速电机,具有结构简单、控制方便等优点,可广泛应用于调速精度要求不高的场所,节能效果明显,经济效益显著。
YD、YDT系列变极多速电动机使用条件
1、海拔不超过1000M。
2、环境温度:-15~40℃。
3、最湿月月平均最高相对湿度为90%,同时该月月平均最低温度不高于25℃。
4、电动机的外壳防护等级为IP44(见GB/T4942.1)。
5、电动机的冷却方式为IC411(见GB/T1993)。
6、电动机的定额为S1连续定额。
7、电动机的额定电压为380V,额定频率为50HZ。
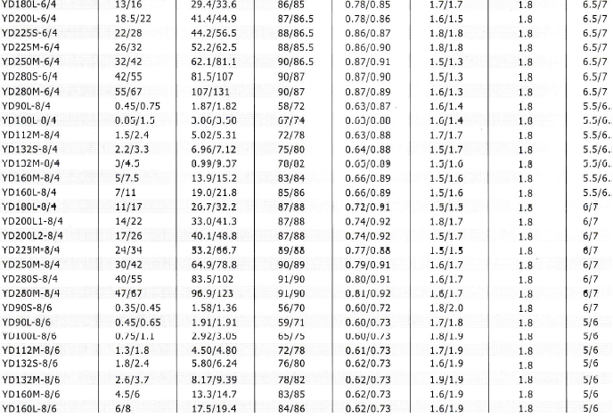
YD、YDT系列变极多速电动机技术数据







YD、YDT系列变极多速电动机安装及外形尺寸


惠州市环亚机械科技有限公司 版权所有 粤ICP备18027104号-1